当前位置: 网站主页 > 资讯 > 手游攻略 > 正文

原神4.5那维莱特0-6命毕业攻略 4.5那维莱特0-6命毕业属性怎么样

文章作者:522手游小编   发布时间:2024-04-06 10:44:05   来源:522手游

原神4.5那维莱特0-6命毕业属性肯定提升很多的,并且实力大大的凸显哦,了解其毕业属性实力,轻松培养哦,具体的4.5那维莱特0-6命毕业方法及强度内容,下面来一一告诉给大家吧,快来看看吧~

原神4.5那维莱特0-6命毕业

武器选择&期望

原神4.5那维莱特0-6命毕业攻略 4.5那维莱特0-6命毕业属性怎么样[图1]

几个需要说明的武器遗祀玉珑(4星推荐)

高额生命值和暴击率,龙王可以享受10秒加成,差不多是eAqA能吃到,最后一次重击则吃不到;

但这个buff,可以通过速切玩法,实现buff全覆盖;

速切:蓄力一次,切后台,然后再切回来蓄力两次(即3次蓄力都享受生命值加成)

圣遗物主词条:推荐生水暴

无垠蔚蓝之歌

整体强度较低,5精会比较好,主要是充能效率

武器提供的刚好满足那维单人大招循环,但期望会低很多,金箔也是;

PS:爆,指暴击伤害帽子的缩写

武器期望那八迪心

3轮输出平均,eq+3z

原神4.5那维莱特0-6命毕业攻略 4.5那维莱特0-6命毕业属性怎么样[图2]

这个队伍缺加伤,无万叶情况,我们一般是选择:生水爆

有万叶,我们默认生生爆,毕业

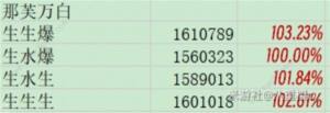
那芙万白

原神4.5那维莱特0-6命毕业攻略 4.5那维莱特0-6命毕业属性怎么样[图3]

这个队伍加伤足,有芙芙+万叶,我们一般是选择:生生爆/生生生

其中,0命,生生爆最优;1命,生生生和生生爆差不多;

生命值&双爆收益

这个告诉你每个属性的最佳收益区间

原神4.5那维莱特0-6命毕业攻略 4.5那维莱特0-6命毕业属性怎么样[图4]

红色横线代表收益变化节点、红色竖线代表双爆收益区间变化

养成优先建议

1)将生命值提升至33564,之后再考虑双暴;

2)由于有逐影的36%暴击率效果,故暴击率只需要接近64%即可;

3)暴击伤害在240%之后,边际效益规律会极其明显,故推荐暴击伤害在240%附近,即可毕业;

4)2命那维莱特的小伙伴,则只需要240%暴击伤害即可,其余叠生命值与叠暴击伤害效果差不多;

5)由于只需要属性接近这个值即可,因此可以用生命头的;

属性说明

1)240%暴击伤害后,33564~40000这个区间,那维莱特生命值收益比暴击伤害高;

2)280%暴击伤害,40000~50000这个区间,两者是差不多的,故生命值头与暴击伤害头差不多;

3)300%+暴击伤害,与5w+生命值,他们也是差不多

故最理想的毕业

0命,就是4万的生命值,300%的暴击伤害,118%的充能

2命,就是4.5万的生命值,260%的暴击伤害(越高越好),118%的充能

当然以上很难实现,实际比较能实现的参考结尾的毕业面板

面板对比1命那维莱特

面板

原神4.5那维莱特0-6命毕业攻略 4.5那维莱特0-6命毕业属性怎么样[图5]

41766生命值,301.8%暴击伤害

成长曲线:

原神4.5那维莱特0-6命毕业攻略 4.5那维莱特0-6命毕业属性怎么样[图6]

可以看到,x轴是按副词条计算,+4个暴击伤害词条,收益都不如+4个生命值百分比词条的收益高

圣遗物选择&充能需求

龙王自身升级属性是暴击伤害,而专属武器也是暴击伤害,需求暴击率;并且重击为主要输出且会消耗生命值,技能又能回复生命值,从契合度角度看;

选新圣遗物——逐影猎人

原神4.5那维莱特0-6命毕业攻略 4.5那维莱特0-6命毕业属性怎么样[图7]

1)15%重击加成,龙王加伤还是比较缺少的;

ps:如果队伍加伤很高,则推荐生命杯

2)暴击率很高,角色机制很容易叠满到36%暴击率;

3)综合属性要优于水套(其可作为过渡毕业);

这是那维莱特,在那芙万白队伍下

全部搭配的输出对比

原神4.5那维莱特0-6命毕业攻略 4.5那维莱特0-6命毕业属性怎么样[图8]

生生爆最优,其次生生生,最差的就是生水爆,也是最难毕业的方案

结论

高付出养成=最低回报,合理的养成=最高的回报;

充能效率需求

专属的回能不吃充能效率、西风吃充能效率

单水无西风:132%

单水有西风:119%

单水有专属:121%

单水专属+西风:107%

双水无西风:108%

双水有西风:100%

双水有专属:104%

综上所述,这个值比较合适为:

118%元素充能

毕业面板一图流

圣遗物:逐影猎人四件套

主词条说明

生:生命值百分比

水:水伤杯

暴:暴击率

爆:暴击伤害

0~6命适用,生生爆

原神4.5那维莱特0-6命毕业攻略 4.5那维莱特0-6命毕业属性怎么样[图9]

原神4.5那维莱特0-6命毕业攻略 4.5那维莱特0-6命毕业属性怎么样[图10]

原神4.5那维莱特0-6命毕业攻略 4.5那维莱特0-6命毕业属性怎么样[图11]

原神4.5那维莱特0-6命毕业攻略 4.5那维莱特0-6命毕业属性怎么样[图12]

0~6命适用,生生生

原神4.5那维莱特0-6命毕业攻略 4.5那维莱特0-6命毕业属性怎么样[图13]

原神4.5那维莱特0-6命毕业攻略 4.5那维莱特0-6命毕业属性怎么样[图14]

希望大家能够喜欢此攻略哦。

以上就是522手游为你带来的"原神4.5那维莱特0-6命毕业攻略 4.5那维莱特0-6命毕业属性怎么样",更多有趣好玩的热门资讯攻略,请持续关注522手游!

热门攻略
热门排行 更多 >>
游戏专区 更多 >>

Copyright 2022-2024 www.522sy.com All Rights Reserved. 鄂ICP备2022011446号-3

声明:本站点为非赢利性网站 不接受任何赞助和广告